¸´ÐÇÒ½Ò©×ÔÑÐҩ«ÎÖÃÀÌæÄáÁÙ´²ÑÐÌÖ¸üÐÂÊý¾ÝÁÁÏàASCOÄê»á

¸´ÐÇÒ½Ò©×ÔÖ÷Ñз¢µÄ«ÎÖÃÀÌæÄáÆ¬£¨FCN-159£©ÖÎÁƶùͯIÐÍÉñ¾ÏËάÁö²¡Ïà¹Ø´Ô×´Éñ¾ÏËάÁö£¨NF1Ïà¹ØPN£©µÄ2ÆÚÁÙ´²ÑÐÌÖ¸üÐÂÊý¾Ýµ±Ñ¡1È«Çò¹æÄ£×î´ó¡¢×î¾ßÍþÍûÐÔµÄÁÙ´²Ö×Áö»áÒ顪¡ª2025ÄêÃÀ¹úÁÙ´²Ö×Áöѧ»á£¨ASCO£©Äê»á¡£
«ÎÖÃÀÌæÄáÆ¬ÊÇÒ»¿î¸ßÑ¡ÔñÐÔMEK1/2ÒÖÖÆ¼Á£¬Æä˫˳Ӧ֢£¨ÀʸñººË¹Ï¸°û×é֯ϸ°ûÔöÉúÖ¢ºÍ×é֯ϸ°ûÖ×Áö¡¢IÐÍÉñ¾ÏËάÁö²¡Ïà¹Ø´Ô×´Éñ¾ÏËάÁö£©ÒÑÓÚ5ÔÂ29ÈÕ»ñÅúÉÏÊУ¬Ò²ÊÇÖйúÊ׸öÇÒĿǰ¶ÀÒ»ÓµÓÐÉÏÊö˫˳Ӧ֢µÄÒ©Îï¡£
»ùÓÚ¸ÃÑÐÌÖÔÚ2023Äê¼°2024ÄêASCOÄê»áÒѹ«²¼µÄ1/2ÆÚÑÐÌÖÊý¾Ý£¬±¾´ÎÊý¾Ý¸üÐÂÁË×îÐÂËæ·ÃµÄÁÆÐ§ºÍ°²È«ÐÔÊý¾Ý£¬Õ¹ÏÖÁË«ÎÖÃÀÌæÄá»ý¼«µÄÁÙ´²»ñÒæºÍÁ¼ºÃµÄ°²È«ÐÔ£¬½«ÎªÂ«ÎÖÃÀÌæÄáµÄ¿ÆÑ§ÖÎÁÆÔÙÌíÁ¦Ö¤¡£

¾Û½¹ NF1 ¶ùͯÀ§¾³£¬Ìî²¹ÖÎÁƿհ×
I ÐÍÉñ¾ÏËάÁö²¡£¨NF1£©ÊÇÒ»ÖÖ³£È¾É«ÌåÏÔÐÔÒÅ´«ÐÔÖ×ÁöÐÔ¼²²¡£¬³£ÀÛ¼°¶àÁãËé¡£Ô¼ 30%-50% µÄ»¼Õß°é·¢´Ô×´Éñ¾ÏËάÁö£¨PN£©£¬¿Éµ¼Ö»ÙÈÝ¡¢ÌÛÍ´¡¢ÉíÌ幦ÄÜ·Á°µÈÑÏÖØ³É¼¨²¢Ã÷ÏÔÓ°Ï컼ÕßÉú»îÖÊÁ¿¡£PN »¼Õß´ó¶àÔÚÓ×ÄêʱÆÚÆð²¡£¬ÇÒÔÚÉú³¤·¢Óý¹Ø¼üµÄ¶ùͯÆÚ¼²²¡½øÕ¹¸üΪѸËÙ£¬Òò´Ë¶ùͯ NF1-PN µÄÖÎÁÆÐèÇóÓÈΪÆÈÇÐ2¡£
ĿǰÊÖÊõËäΪNF1Ïà¹ØPNµÄ´ÎÒªÖÎÁÆÊÖÍ󣬵«ÓÉÓÚÁöÌåÀ´Ô´ÓÚÉñ¾£¬Ô¼Ö»Òª15% µÄ»¼ÕßÖ×Áö¿ÉÍêÈ«Çгý£¬43%µÄ»¼ÕßÊõºó»á³öÏÖPN¸´·¢3¡£²»¿ÉÇгý»òÊõºó¸´·¢µÄ PN »¼ÕßÖÎÁÆÑ¡Ôñ¼«ÎªÓÐÏÞ£¬ÓÈÆäÊǶÔÓÚ2 ËêµÄÖйú¶ùͯ»¼Õߣ¬ÔÚ«ÎÖÃÀÌæÄá»ñÅúǰÎÞÒ©Îï¿ÉÓá£
±¾ÑÐÌÖΪһÏî¶àÖÐÐÄ£¬¿ª·Å±êÇ©2ÆÚÁÙ´²ÊµÑé¡£Æä´ÎҪĿµÄÊÇÆÀ¼Û«ÎÖÃÀÌæÄáÆ¬£¨FCN-159£©ÖÎÁƶùͯIÐÍÉñ¾ÏËάÁö²¡Ïà¹Ø´Ô×´Éñ¾ÏËάÁö£¨NF1Ïà¹ØPN£©µÄÓÐЧÐÔ¼°°²È«ÐÔ¡£´ÎÒªÖÕµãΪÑÐÌÖÕ߯À¼ÛµÄ¿Í¹Û»º½âÂÊ£¨ORR£©£¬¹Ø¼ü´ÎÒªÖÕµãΪä̬¶ÀÁ¢ÆÀÉóίԱ»á£¨BIRC£©ÆÀ¼ÛµÄORR¡£

«ÎÖÃÀÌæÄáÆðЧѸËÙÇÒÁÆÐ§Ã÷ÏÔ£¬ORR´ï60.5%£¬ÖÐλÆðЧ¹¤·òΪ4.7¸öÔÂ
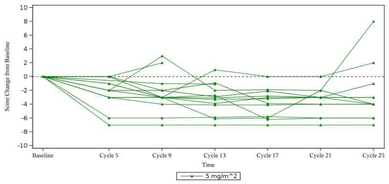
½ØÖÁ2024Äê9ÔÂ23ÈÕ£¬±¾Ïî¶àÖÐÐÄ£¬¿ª·Å±êÇ©2ÆÚÁÙ´²ÑÐÌÖÄÉÈë46Àý2-18Ë꣨²»º¬£©NF1Ïà¹ØPN¶ùͯ»¼Õß½ÓÊÜ«ÎÖÃÀÌæÄᣨ5 mg/m2£¬Ã¿ÈÕÒ»´Î£©ÖÎÁÆ¡£ÖÐÎ»Ëæ·Ã¹¤·òΪ25.1¸öÔ¡£
ÔÚ43 Àý¿ÉÆÀ¼Û»¼ÕßÖУ¬ÑÐÌÖÕ߯À¼ÛÇÒÈ·ÈϵĿ͹ۻº½âÂÊ£¨ORR£©´ï60.5%£¨95% CI£º44.4-75.0£©£¬26 Àý´ïµ½²¿·Ö»º½â£¨PR£©£¬17 Àý¼²²¡²¨¶¯£¨SD£©£¬ÎÞ»¼Õß¼²²¡½øÕ¹¡£ÖÐλ»º½â³ÖÐø¹¤·ò£¨DOR£©ºÍÖÐλÎÞ½øÕ¹Éú»îÆÚ£¨PFS£©Î´´ïµ½¡£
ÔÚ43Àý¿ÉÆÀ¼Û»¼ÕßÖУ¬BIRCÆÀ¼ÛÇÒÈ·È쵀 ORR Ϊ44.2%£¨95% CI£º29.1-60.1£©£¬19 Àý´ïµ½PR£¬24 Àý´ïµ½SD£¬ÎÞ»¼Õß¼²²¡½øÕ¹¡£
ÑÐÌÖÕ߯À¼ÛµÄÖÐλÆðЧ¹¤·òΪ4.7¸öÔ£¬BIRCÆÀ¼ÛµÄÖÐλÆðЧ¹¤·òλ5.5¸öÔ¡£

»ùÏßNRS¡Ý2 ·Ö»¼ÕßÖУ¬92.9%ÌÛÍ´Ã÷ÏÔ¸ÄÉÆ
ÔÚ 14 Àý¿ÉÆÀ¼ÛÌÛÍ´µÄ»¼ÕßÖУ¨¼´»ùÏß×ÜÌåÖ×ÁöÌÛÍ´ÆÀ·Ö¡Ý2ÇÒÖÁÉÙÓÐÒ»´Î»ùÏߺóÆÀ¼ÛµÄ»¼Õߣ©£¬Óë»ùÏßÏà±È£¬ÖÐλ×î´óÌÛÍ´½µµÍ·ÖÊýµÄ±ä»¯Îª-3.5·Ö¡£13Àý£¨92.9%£©»¼ÕßµÄÌÛÍ´ÆÀ·ÖÖÁÉÙ½µµÍ2·Ö£¬´ïµ½ÁËÁÙ´²ÒâÒåµÄ¸ÄÉÆ¡£11Àý£¨78.6%£©»¼ÕßµÄÌÛÍ´ÆÀ·ÖΪ0£¬¼´ÌÛÍ´ÍêÈ«ÏûÊÅ¡£

°²È«ÐÔÁ¼ºÃ£¬²»Á¼ÊÂÇé¶àΪ1-2¼¶Çҿɿأ¬Î´³öÏÖÐµİ²È«ÐÔÐźÅ
ÓëÑÐÌÖÒ©ÎïÓйصIJ»Á¼ÊÂÇ飨TRAEs£©·¢ÉúÂÊΪ 97.8%£¬ÒÔ 1-2 ¼¶ÎªÖ÷£¬¡Ý3 ¼¶ TRAEs ½öÕ¼21.7%£¬³£¼û²»Á¼ÊÂÇé´ÎÒª°üÀ¨¼×¹µÑ×£¨65.2%£©¡¢Ñª¼¡ËáÁ×Ëἤø£¨CPK£©½µµÍ£¨56.5%£©¡¢¿ÚÇ»À£Ññ£¨52.2%£©ºÍѪÈéËáÍÑÇâø½µµÍ£¨50%£©£¬¾ùΪ MEK ÒÖÖÆ¼ÁÀàÒ©Îï³£¼û¿É¿ØÐÔ·´Ó¦¡£
¸¹Í´¡¢¸¹Ðº¡¢¶ñÐĺÍŻ͵ķ¢ÉúÂÊÔÚ 2.2% ÖÁ 19.6% Ö®¼ä£¬ÇÒ¾ùδ´ï 3 ¼¶¡£½ö 2 Àý£¨4.3%£©»¼Õß³öÏÖÓëÑÐÌÖÒ©ÎïÓйصÄÑÏÖØ²»Á¼ÊÂÇ飨ðî´¯ÑùƤÑ׺͸ÐȾÐÔ·ÎÑ×£©¡£13Àý£¨28.3%£©»¼Õß³öÏÖµ¼ÖÂÔÝÍ£ÓÃÒ©µÄTRAE£¬ÎÞTRAEµ¼Ö¼ÁÁ¿½µµÍ¡¢ÓÀÊÀÍ£Ò©»òËÀÍö¡£»¼ÕßÒÀ´ÓÐÔ´ïµ½100%¡£
«ÎÖÃÀÌæÄáµÄ°²È«ÐÔÁ¼ºÃ£¬²»Á¼ÊÂÇé¾¹ý¶ÔÖ¢ÖÎÁƺÍÔÝÍ£ÓÃÒ©ºó¿ÉÓÐЧ¹ÜÀí¡£ÔÚ¶ùͯ¼°ÇàÉÙÄêÖÐÄÍÊÜÐÔÁ¼ºÃ¡£

´úл²¨¶¯¡¢¸ßÑ¡ÔñÐÔ¡¢µÍ¶¾ÐÔµÄÌØµã£¬ÎªÖйú NF1 »¼¶ù´øÀ´ÁÙ´²»ñÒæ
×÷ΪÊ׸ö¹ú²úMEKÒÖÖÆ¼Á£¬Â«ÎÖÃÀÌæÄáÔڽṹÉϾ¹ýÐͬÉè¼Æ£¬Íê³ÉÁË´úл²¨¶¯¡¢¸ßÑ¡ÔñÐԺ͵Ͷ¾ÐÔ£¬ÒÔ¼°°ëË¥ÆÚÑÓÉìµÄÓÅÊÆ¡£Ò©´ú¶¯Á¦Ñ§ÌØÕ÷Ö§³ÖÒ©ÎïÿÈÕ¸øÒ©1´Î£¬²»ÊܲÍʳӰÏì²¢¾ßÓиüÉٵĺϲ¢ÓÃÒ©Ó°Ï죬¾ù´øÀ´¸üºÃµÄÒÀ´ÓÐÔ£¬ºÏÊʶùͯ³¤ÆÚÓÃÒ©¡£Â«ÎÖÃÀÌæÄá²»Ö»ÒÔ¸ßÑ¡ÔñÐÔ»úÖÆ´òÆÆÁË´«Í³ÖÎÁƵľÖÏÞÐÔ£¬¸ü¾¹ýÃ÷ÏÔµÄÖ×Áö»º½âÂÊÓëÌÛÍ´¸ÄÉÆÊý¾Ý£¬½«Îª NF1 »¼¶ù´øÀ´»ý¼«µÄÁÙ´²»ñÒæ¡£
´ËÍ⣬«ÎÖÃÀÌæÄáÆ¬ÓÃÓÚÖÎÁƳÉÈË¢ñÐÍÉñ¾ÏËάÁö²¡ÓÚÖйú¾³ÄÚ´¦ÓÚ¢óÆÚÁÙ´²ÊµÑé½×¶Î£¬¸ÃÒ©Æ·ÓÃÓڵͼ¶±ðÄÔ½ºÖÊÁö¡¢ÂÍ⶯¾²Âö»ûÐΡ¢¶ùͯÀʸñººË¹Ï¸°û×é֯ϸ°ûÔöÉúÖ¢µÄÖÎÁÆÓÚÖйú¾³ÄÚ¾ù´¦ÓÚ¢òÆÚÁÙ´²ÊµÑé½×¶Î£¬ÆäÖУ¬¸ÃÒ©Æ·ÓÃÓÚÎÞ·¨ÊÖÊõ»òÊõºó²ÐÁô/¸´·¢µÄNF1Ïà¹ØµÄ´Ô×´Éñ¾ÏËάÁö³ÉÈË»¼Õß¡¢¶ùͯÀʸñººË¹×é֯ϸ°ûÔöÉúÖ¢Á½Ïî˳Ӧ֢¾ùÒѱ»¹ú¼ÒÒ©¼à¾ÖÒ©Æ·ÉóÆÀÖÐÐÄÄÉÈë´òÆÆÐÔÖÎÁÆÒ©Îï³ÌÐò¡£¸´ÐÇÒ½Ò©½«³ÖÐøÍÆ½øÂ«ÎÖÃÀÌæÄáÆ¬ÔÚÆäËü˳Ӧ֢µÄ¿ª·¢£¬Îª¸ü¶à»¼Õß´øÀ´¸£Òô¡£
*±¾²ÄÁÏΪרҵҽѧ²ÄÁÏ£¬½ö¹©Ò½ÁÆÎÀÉúרҵÈËÊ¿²Î¿¼£¬¾ßÌåÕïÁÆÐÅÏ¢Çë×ñÒ½Öö¡£
²Î¿¼ÎÄÏ×£º
1. JinHu Wang et al. JCO 43, 10044-10044(2025).
2. ÖйúÏ¡Óв¡ÁªÃË¢ñÐÍÉñ¾ÏËάÁö²¡¶àѧ¿ÆÕïÁÆÐ×÷×é. [J].Ï¡Óв¡ÑÐÌÖ, 2023,2(2):210-230.
3. Fisher MJ, et al. Neuro Oncol. 2022;24(11):1827-1844
