ÁÆÐ§¼°°²È«ÐÔ»ñÈÏÖ¤ ¶ùͯϡÓв¡´´ÐÂҩ«ÎÖÃÀÌæÄáÑÐÌֳɹû×îз¢²¼
ÔÚÈ«ÇòѪҺѧÁìÓò¹æÄ£×î´óµÄ¹ú¼Ê»áÒéÖ®Ò»£¬2025ÄêµÚ30½ìÅ·ÖÞѪҺѧлᣨEHA£©Äê»áÉÏ£¬¸´ÐÇÒ½Ò©×ÔÖ÷Ñз¢µÄMEK1/2ÒÖÖÆ¼Á«ÎÖÃÀÌæÄᣨFCN-159£©ÖÎÁƸ´·¢/ÄÑÖÎÐÔÀʸñººË¹Ï¸°û×é֯ϸ°ûÔöÉúÖ¢£¨LCH£©¶ùͯ»¼ÕߵĹؼüÑÐÌֳɹûÖØ°õ·¢²¼£¬ÎªÆä¿ÆÑ§ÔËÓÃÔÙÌíÐÂÖ¤1¡£
ÈÕǰ£¬Â«ÎÖÃÀÌæÄáÆ¬Íê³ÉÊ×ÁãÊÛ»õ£¬ÒÑÔÚÉϺ£¡¢×ðÁúZ6¼¯ÍÅ¡¢¹ã¶«¡¢É½¶«¡¢½ËÕ¡¢ºþÄϵȶà¸öÊ¡ÊÐÒ½Ôº¿ª³öÊ×Åú´¦·½£¬ÕýʽͶÈëÁÙ´²ÔËÓá£
«ÎÖÃÀÌæÄáÊÇÒ»ÖÖ¸ßÑ¡ÔñÐÔMEK1/2¿Ú·þС·Ö×ÓÒÖÖÆ¼Á£¬¾¹ý×è¶ÏMAPKÐźÅͨ·µÄÒì³£¼¤»î£¬ÒÖÖÆÖ×Áöϸ°ûÔöÖ³²¢ÓÕµ¼ÆäµòÍö¡£Ä¿Ç°Â«ÎÖÃÀÌæÄáÒѾ¹ý¹ú¼ÒÒ©Æ·¼à¶½¹ÜÀí¾ÖÓÅÏÈÉóÆÀÉóÅú³ÌÐò£¬ÓÚ5ÔÂ29ÈÕ»ñÅúÓÃÓÚÖÎÁÆÀʸñººË¹Ï¸°û×é֯ϸ°ûÔöÉúÖ¢£¨LCH£©ºÍ×é֯ϸ°ûÖ×Áö³ÉÈË»¼Õߣ»ÒÔ¼°2Ëê¼°2ËêÒÔÉϰéÓÐÖ¢×´¡¢ÎÞ·¨ÊÖÊõµÄ´Ô×´Éñ¾ÏËάÁö£¨PN£©µÄIÐÍÉñ¾ÏËάÁö²¡£¨NF1£©¶ùͯ¼°ÇàÉÙÄ껼Õߣ¬ÊÇÖйúÊ׸öÇÒĿǰ¶ÀÒ»ÓµÓÐÉÏÊö˫˳Ӧ֢µÄÒ©Îï¡£´ËÍ⣬«ÎÖÃÀÌæÄáÓÃÓÚ¶ùͯLCHµÄ˳Ӧ֢ҲÒѱ»¹ú¼ÒÒ©¼à¾ÖÒ©Æ·ÉóÆÀÖÐÐÄÄÉÈë´òÆÆÐÔÖÎÁÆÒ©Îï³ÌÐò¡£±¾´ÎEHA´ó»áÉÏ£¬Â«ÎÖÃÀÌæÄáÓÃÓÚ¶ùͯLCHµÄIIÆÚÑÐÌֳɹûÒÔ±Ú±¨·½Ê½·¢²¼£¬Õ¹ÏÖÁËÆäÁ¼ºÃµÄÁÆÐ§¼°°²È«ÐÔ¡£
¸ÃÏî¶àÖÐÐÄ¡¢¿ª·Å±êÇ©¡¢µ¥±Û¡¢IIÆÚÑÐÌÖÓÉÊ×¶¼Ò½¿Æ×ðÁúZ6¼¯ÍŸ½Êô×ðÁúZ6¼¯ÍŶùͯҽԺµÄÕÅÈï½ÌÊÚǣͷ£¬Ö¼ÔÚÆÀ¼Û«ÎÖÃÀÌæÄáÓÃÓÚÖÎÁƸ´·¢/ÄÑÖÎÐÔLCH¶ùͯ»¼ÕßµÄÓÐЧÐÔÓ밲ȫÐÔ¡£¸ÃÑÐÌÖÄÉÈë25Ãû¸´·¢»òÄÑÖÎÐÔLCH¶ùͯ»¼Õß½ÓÊÜ«ÎÖÃÀÌæÄáµ¥Ò©ÖÎÁÆ£¨¼ÁÁ¿ 5 mg/m2£¬Ã¿ÈÕÒ»´Î£©£¬Ã¿28ÌìΪһÖÜÆÚ¡£´ÎÒªÖÕµãΪÓɶÀÁ¢ÆÀÉóίԱ»á£¨IRC£©»ùÓÚPET response criteria (PRC) ÆÀ¼ÛµÄ¿Í¹Û»º½âÂÊ£¨ORR£©£¬´ÎÒªÖÕµã°üÀ¨ÓÉÑÐÌÖÕß»ùÓÚPRCÆÀ¼ÛµÄORR¡¢ÑÐÌÖÕ߸ù¾Ý2009Äê¡¶LCHÆÀ¼ÛÓëÖÎÁÆÖ¸ÄÏ¡·ÆÀ¼ÛµÄORRºÍ°²È«ÐԵȡ£
½ØÖÁ2024Äê11ÔÂ13ÈÕ£¬¹²ÓÐ25Àý»¼¶ùÈë×飬ÖÐÎ»Ëæ·Ã¹¤·òΪ7.4¸öÔ¡£ÑÐÌÖ½á¹ûÏÔʾ£¬IRC¸ù¾ÝPRCÆÀ¼ÛµÄORR´ï84.0%£¨21/25£©£¬ÆäÖÐ14ÀýΪÍêÈ«´úл»º½â£¨CMR£©£¬7ÀýΪ²¿·Ö´úл»º½â£¨PMR£©¡£ÑÐÌÖÕ߯À¼ÛµÄORR´ï80.0%£¨20/25£©£¬ÆäÖÐ11ÀýΪCMR£¬9ÀýΪPMR£¨±í1&ͼ1£©¡£
±í1. «ÎÖÃÀÌæÄáÁÆÐ§Êý¾Ý

ͼ1. SUV Óë»ùÏßÏà±ÈµÄ×î¼Ñ°Ù·Ö±È±ä»¯

ÔÚÈë×éµÄ 25 Àý»¼¶ùÖУ¬84%£¨n=21£©µÄ»¼ÕßÔÚ×éÖ¯»ò cfDNA Ñù±¾ÖдæÔÚ¶àÖÖ MAPK ͨ·½¥±ä£¨15Àý [60.0%]?BRAF?½¥±ä£¬2Àý [8.0%]?ARAF?½¥±ä£¬ºÍ4 Àý [16.0%]?MAP2K1?½¥±ä£©£¬ÆäËû4Àý»¼¶ù£¨16%£©Î´¼ì²âµ½»ùÒò½¥±ä¡£ÔÚBRAF?½¥±ä¡¢ARAF?½¥±ä¡¢MAP2K1?½¥±äºÍδ·¢ÏÖ½¥±äµÄ»¼¶ùÖУ¬IRCÆÀ¼ÛµÄORR·Ö±ðΪ86.7%¡¢50%¡¢100%ºÍ75%¡£
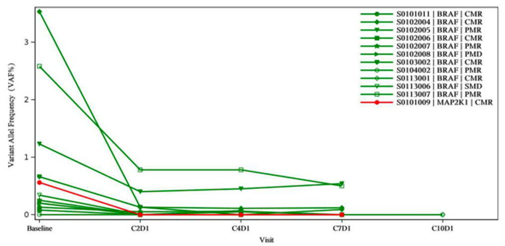
´ËÍ⣬12Àý»¼¶ùÔÚ»ùÏßcfDNAÖмì²âµ½»ùÒò½¥±ä£¨11ÀýBRAF?»ùÒò½¥±ä£¬1ÀýMAP2K1?»ùÒò½¥±ä£©¡£½ÓÊÜ«ÎÖÃÀÌæÄáÖÎÁÆ3¸öÖÜÆÚºó£¬¸Ã12Àý»¼¶ùcfDNA±äÒìµÈλ»ùÒòƵÂʾùÃ÷ÏÔ½µµÍ»ò½µµÍÖÁ¼ì²â²»µ½µÄ³Ì¶È£¬ÇÒÓ뻼ÕßµÄÁÙ´²·´Ó¦·ÖÆç£¨Í¼2£©¡£
ͼ2. cfDNAÖÐMAPKͨ·±äÒìµÈλ»ùÒòƵÂÊ£¨VAF %£©µÄ¶¯Ì¬±ä»¯

°²È«ÐÔºÍÄÍÊÜÐÔ·ÖÎöÏÔʾ£¬×î³£¼ûµÄÒ©ÎïÖÎÁÆÏà¹Ø²»Á¼ÊÂÇ飨TRAE£©ÒÀ´ÎΪƤÕ36.0%£©¡¢ÑªÒº¼¡ËáÁ×Ëἤø½µµÍ£¨36.0%£©¡¢¿ÚÇ»À£Ññ£¨16.0%£©¡¢Ì춬°±Ëá°±»ù×ªÒÆÃ¸½µµÍ£¨16.0%£©¡¢¼×¹µÑ×£¨16.0%£©¡¢Æ¤Ñ×£¨16.0%£©¡¢Æ¤·ô¸ÐȾ£¨16.0%£©ºÍƶѪ£¨16.0%£©¡£2Àý»¼¶ù£¨8.0%£©³öÏÖ¡Ý3¼¶µÄTRAE£¨¼¡ËáÁ×Ëἤø½µµÍºÍƤÕî¸÷Ò»Àý£©¡£20.0%ºÍ12.0%µÄ»¼¶ù·Ö±ð±¨¸æÁ˵¼ÖÂÔÝÍ£ÓÃÒ©ºÍ¼ÁÁ¿½µµÍµÄTRAE¡£Î´·¢ÏÖÈÇÆðÍ£Ò©µÄTRAE»òÑÏÖØTRAE (±í2)¡£
±í2. ·¢ÉúÂÊ>10%µÄTRAEs¼°¡Ý3¼¶TRAE

¸ÃÑÐÌÖ½á¹û³õ²½±íÃ÷£¬Â«ÎÖÃÀÌæÄáÖÎÁÆÄÑÖÎ/¸´·¢ÐÔLCH»¼¶ùÁÆÐ§Ã÷ÏÔÇÒÄÍÊÜÐÔÁ¼ºÃ£¬Ã»ÓÐÒòTRAEÈÇÆðÍ£Ò©µÄ±¨¸æ¡£
Ŀǰ£¬¶ùͯLCHÁìÓòÉÐÎÞÒ©Îï»ñÅú¡£ÔÚ±¾´ÎEHA´ó»áÉÏ£¬¸ÃÑÐÌֵijõ²½½á¹ûÕ¹ÏÖÁË«ÎÖÃÀÌæÄáÁ¼ºÃµÄÁÆÐ§¼°°²È«ÐÔ¡£½«À´¸´ÐÇÒ½Ò©½«³ÖÐøÌ½Çó£¬ÔçÈÕΪ»¼Õß´øÀ´ÐµÄÖÎÁÆÑ¡Ôñ¡£
?
*±¾²ÄÁÏΪרҵҽѧ²ÄÁÏ£¬½ö¹©Ò½ÁÆÎÀÉúרҵÈËÊ¿²Î¿¼£¬¾ßÌåÕïÁÆÐÅÏ¢Çë×ñÒ½Öö¡£
?
1. Zhang R, et al. EHA 2025.
